Este glosario forma parte del documento El potencial productivo verde de la Argentina de Fundar. Para su elaboración se utilizaron las siguientes fuentes: Glosario del Atlas de Complejidad Económica del Laboratorio de Crecimiento de la Universidad de Harvard; Mealy y Teytelboym (2020); Hidalgo et al. (2007) e Hidalgo y Hausmann (2009).
Proximidad
Este indicador captura en qué medida están relacionados dos productos en términos de las capacidades que requieren y movilizan y, en esta línea, formalizan la intuición de que la posibilidad de que un país elabore un producto depende de su capacidad de elaborar otros.
Especificación técnica: la proximidad (Φij) mide la probabilidad condicional mínima de que un país exporte el producto i con ventajas comparativas reveladas (VCR>1) dado que exporta el producto j con ventajas comparativas reveladas (VCR>1), y viceversa. Para cada par de productos:

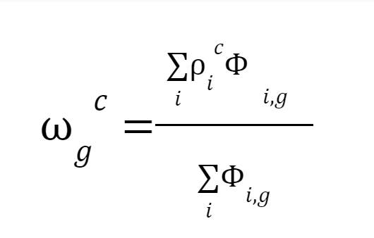
Densidad
Esta medida captura cuán relacionado está un producto con el conjunto de capacidades productivas que un país ya tiene desarrolladas, medido por el vínculo de ese producto y las exportaciones del país en un determinado momento. En esta línea, muestra en qué medida las capacidades existentes son aplicables para la elaboración de ese producto. Un producto denso (o cercano) tiene un desarrollo más probable debido a que requiere capacidades que están relacionadas con las ya existentes. Mientras que una menor densidad (valores cercanos a 0) evidencia una escasa relación del producto con las capacidades productivas del país, una mayor densidad (valores más cercanos a 1) reflejan que el producto analizado requiere capacidades relacionadas con las disponibles actualmente en esa economía, lo cual facilitará su desarrollo productivo.
Especificación técnica: la densidad alrededor de un producto g dada la canasta de exportación de
un país c se mide como la suma de las proximidades del bien g con los bienes en los que el país c
tiene ventajas comparativas reveladas superiores a 1 (VCR>1), dividido la suma de las proximidades
del bien g con todos los bienes.

Como nota adicional, la medida de “distancia” de una economía a un bien g, la cual captura el alcance
de las capacidades existentes en una economía para fabricar un nuevo producto, se puede calcular
como 1 menos el valor de densidad de ese bien g.
Índice de complejidad del producto (ICP)
La complejidad económica de un producto depende de dos características: por un lado, de su ubicuidad, es decir, del número de países capaces de exportarlo de forma competitiva. Por el otro, de la diversificación de la canasta exportadora de esos países, es decir, de la cantidad de productos que exportan de manera competitiva. Intuitivamente, cuanto menor es el número de países que lo exporten y cuanto más diversificada sea la canasta exportadora de dichos países más complejo será el producto.
Índice de complejidad económica (ICE)
Es un indicador que permite clasificar a los países en términos de la complejidad de su canasta de exportaciones. Esta medida captura el conocimiento de un país expresado en los bienes que produce. Aquellos países con una diversidad de conocimientos técnicos productivos podrán fabricar un abanico amplio y diverso de productos, incluso aquellos bienes complejos que solo pocos pueden elaborar.
El ICE se considera una medida útil del desarrollo económico en tanto la complejidad de las exportaciones de un país no solo predice en gran medida los niveles de ingresos actuales, sino que también anticipa que el país tendrá un mayor crecimiento económico futuro.
Índice de complejidad económica verde (ICV)
Es un indicador que permite clasificar a los países en términos de la complejidad presente de su canasta de exportaciones verdes. Captura el nivel de competitividad agregada que tiene cada país para exportar productos verdes y sofisticados tecnológicamente.
Especificación técnica: el ICVc mide la complejidad económica del país en los productos verdes que produce de forma competitiva. ρgc es una variable binaria que toma valor 1 si el país c tiene VCR>1 en el producto verde g y IĈPg es el índice de complejidad del producto g normalizado para que tome valores entre 0 y 1.

Perspectiva de Complejidad Futura (COG, por sus siglas en inglés, Complexity Outlook Gain)
Es un indicador que mide cuánto cambiaría el índice de complejidad económica (ICEc) en el futuro cuando el país c logre exportar el producto p de forma competitiva. De este modo, captura el potencial de desarrollo de un nodo o producto en particular en términos de abrirle las puertas a otros productos de mayor complejidad. En otras palabras, hace referencia al acercamiento a un conjunto de productos que se logra cuando se desarrollan capacidades vinculadas a un producto que se consiguió exportar de forma competitiva.
Especificación técnica:

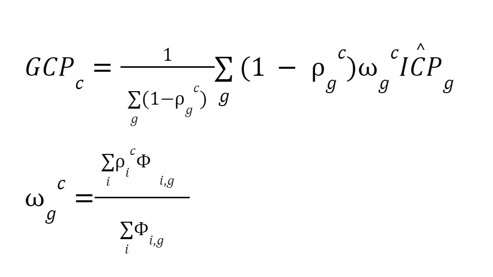
Potencial de complejidad verde (PCV)
Agrega en un indicador el grado de cercanía productiva que tiene un país con aquellos productos verdes y complejos que el país no exporta de forma competitiva pero en los que ya tiene capacidades similares. Es decir, utilizando el espacio de productos, identifica los productos verdes más cercanos a la estructura productiva actual (VCR>1), y los pondera por su nivel de complejidad económica (ICP).
De este modo, si un país tiene potencial para producir una gran cantidad de productos verdes complejos, el indicador PCV será alto en términos relativos.
Especificación técnica: el índice de PCV indica el potencial verde por país a partir de las siguientes fórmulas.

Donde 1-ρgc indica aquellos productos donde el país no tiene VCR>1, ωgc es el indicador de densidad que mide la cercanía del producto g al conjunto de la estructura productiva del país c. En este caso, se calcula la densidad de los productos verdes (g) a cualquier producto donde el país tiene ventajas comparativas reveladas superiores a 1. Naturalmente, este indicador podría ser construido también para aquellos productos no verdes.
Índice de perspectiva de complejidad (COI, por sus siglas en inglés, Economic Complexity Outlook Index)
Es una medida de la cantidad de productos complejos que se encuentran cercanos al conjunto de capacidades productivas actuales de un país. Un COI elevado refleja la existencia de una gran cantidad de productos complejos dependientes de capacidades o conocimientos presentes en la producción actual. Por el contrario, un COI bajo indica que un país tiene pocos productos complejos próximos, por lo que le será más difícil adquirir nuevos conocimientos y aumentar su complejidad económica. De este modo, el índice captura cuán fácil es para un país diversificarse hacia una producción compleja relacionada con las capacidades existentes de una economía.
Especificación técnica: es la sumatoria de la “cercanía” de cada producto a la producción actual (es decir, la sumatoria de 1 menos la distancia de cada producto a los productos que el país no exporta de forma competitiva actualmente), ponderada por el nivel de complejidad del producto.

Donde ρgc es una variable binaria que toma valor 1 si el país c tiene VCR>1 en el producto verde p y IĈPp es el índice de complejidad del producto p normalizado para que tome valores entre 0 y 1.
Espacio de productos
Es una red de productos y sus relaciones elaborada a partir de datos comerciales entre países. Los productos exportados, representados a través de los nodos, están vinculados a otros productos en caso de tener una elevada probabilidad de ser exportados conjuntamente de forma competitiva. Para ello se construye un árbol de máxima expansión (MST) a partir de la matriz ponderada φ y un límite de cercanía/umbral de proximidad para las conexiones entre productos.
Por su parte, el espacio de productos verdes es una red en la cual los nodos son únicamente los productos verdes y, por ende, permite visualizar la relación en las capacidades entre estos.
Primera divina coincidencia
Fenómeno que evidencia que los productos verdes poseen una complejidad producto en promedio más elevada que la del resto de los productos de la canasta exportable y, por ende, están asociados a una mayor tasa de crecimiento económico futuro. En esta línea, la primera “divina coincidencia” sugiere que es posible compatibilizar en una misma agenda objetivos ambientales y de crecimiento económico: apostar al desarrollo de los productos verdes elevaría la complejidad de la economía, y consecuentemente, las perspectivas de crecimiento económico.
Segunda divina coincidencia
Fenómeno que se produce en algunos países cuando los productos verdes sin ventajas comparativas reveladas muestran una correlación positiva entre su índice de complejidad producto y su perspectiva de complejidad futura. Esto sería deseable en tanto desarrollar estos productos no sólo mejoraría la probabilidad de una aceleración del crecimiento económico, sino que también abriría las puertas a una mayor complejidad verde, todo lo cual implicaría, a su vez, mayor crecimiento económico en un plazo aún más largo.
Producto interesante
Producto que emerge de la selección realizada a partir de tres criterios que utilizan como base las medidas de densidad, complejidad económica, perspectiva de complejidad futura y el recorrido productivo previo de cada producto y sector. Los tres criterios propuestos en este documento son: 1) productos cercanos a la estructura productiva actual (medido en términos de la densidad) que maximicen la complejidad presente y futura; 2) productos con VCR elevadas, pero menores a 1, e índices de complejidad altos; 3) productos en los cuales la Argentina tuvo ventajas comparativas reveladas en 2011 (VCR>1), pero dejó de tenerlas en 2018.
Cluster productivo
En el marco del espacio de productos verdes, es un conjunto de nodos integrado por productos que tienen una proximidad promedio más elevada en relación con aquellos nodos que se encuentran por fuera de este conjunto, que se asocia a la similitud de capacidades productivas entre ellos.
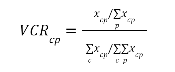
Ventajas comparativas reveladas
Las ventajas comparativas reveladas (VCR) son un indicador utilizado para inferir si un país es competitivo en la producción de un bien a partir de su desempeño exportador de ese bien en relación con el resto de los países. Un país tendrá VCR en el producto p siempre y cuando la participación de este producto en su canasta de exportación sea superior a la participación de las exportaciones de ese producto en el agregado total del comercio internacional. Se considera que un país tiene VCR sobre un producto si el valor del índice es mayor a 1.
Formalmente, las VCR se definen como:

Donde xcp son las exportaciones del producto p del país c.
Este repositorio contiene todos los datos y scripts necesarios para replicar los procedimientos presentados en este trabajo.